Vancouver, British Columbia: FIREWEED METALS CORP. (“Fireweed” or the “Company”) (TSXV: FWZ; OTCQB: FWEDF, formerly Fireweed Zinc Ltd.) is pleased to announce further results from the 2022 drill program at Macmillan Pass, Yukon, Canada (Map 1).
Highlights
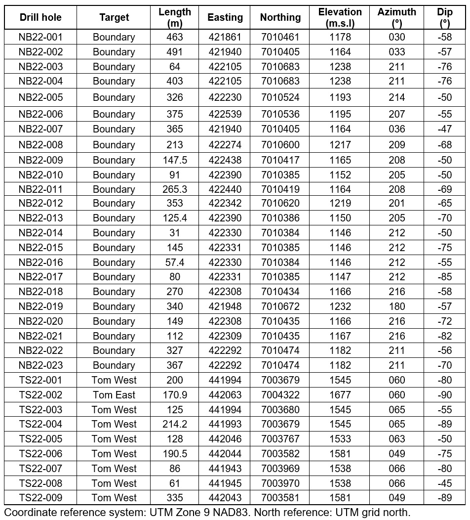
- At Boundary Main step-out drillhole NB22-006 intersected 12.5 m of 11.17% zinc including 6.2 m of 15.84% zinc.
- A new laminated zone in hole NB22-008 returned 14.55% zinc, 1.50% lead, and 28.8 g/t silver over 2.65 m.
- Copper-zinc mineralization was intersected in NB22-006 over 10.5 m grading 0.45% copper and 2.32% zinc.
- Assay results from 24 additional drill holes at Boundary and Tom Zones are pending.
CEO Statement
Brandon Macdonald, CEO, stated “Drilling continues to extend the Boundary Zones with high-grade step-out drill results, including the discovery of a new stratiform zone. The zones remain open along trend and to depth for further extension. Many additional 2022 drill results are pending and we have started planning the biggest drill program in the history of the project for 2023.”
New Boundary Drillholes Results
NB22-008
Laminated sphalerite-galena-barite-pyrite mineralization was intersected in NB22-008 within only 35 m from surface and occurs within the same late-Devonian stratigraphy that hosts the Tom and Jason deposits. This zone graded 8.08% zinc, 0.82% lead, and 17.8 g/t silver over 5.58 m, containing a higher grade 2.65 m interval of 14.55% zinc, 1.50% lead and 28.8 g/t silver (Table 1). This represents a new discovery of a high-grade laminated zone at Boundary Main and remains open to the north and west.
Deeper in NB22-008, a broad zone of sphalerite mineralization was intersected, grading 3.32% zinc over 30.68 m (including higher grade intervals listed in Table 1), representing a ~65 m step-out down-dip from the historic Cominco hole NB91-25 (Map 2). This zone comprised replacement of matrix and some clasts by pyrite and red sphalerite in coarse clastic rocks and breccias cemented by sphalerite-pyrite with minor sphalerite-quartz veins. The textures in this step out intersection are typical of the zinc mineralization at Boundary Main.
NB22-005
This hole intersected several narrow (2.84 m to 4.7 m wide) intervals of stockwork sphalerite-siderite veins grading 4.20% to 5.55% zinc (Table 1) within a sequence of coarse volcaniclastic rocks and conglomerates, typical of mineralization at Boundary Main. These intersections are 30 m to 40 m step-outs up-dip from mineralization in historic Cominco hole NB91-25 (Map 2).
Deeper in NB22-005 an 18.4 m intersection of 2.84% zinc was made in a sequence of black mudstones and lapillistones of the Road River Group comprising many thin red sphalerite-quartz-siderite veins and selective replacement of lapilli by red sphalerite. This intersection is a ~45 m step-out from similar mineralization intersected in 2021 Fireweed drillhole NB21-010.
NB22-006 This hole intersected matrix and clast replacement sphalerite mineralization and sphalerite vein mineralization in several wide intervals typical of the style seen at Boundary Main (Table 1). A higher-grade portion of one of these intervals graded 11.17% zinc over 12.5 m including 6.22 m of 15.84% zinc. Hole NB22-006 is a step-out hole, stepping-out 55 m to 70 m away from zinc mineralization in historic Cominco drillhole NB90-20 (Map 2, Cross Section E-E’). In hole NB22-006, copper-zinc mineralization was intersected over 10.5 m at 0.45% copper and 2.32% zinc within semi-massive pyrite replacing diamictite clasts and matrix. This intersection is 145 m along strike from the intersection of 1.54% copper and 5.42% zinc over 2.00 m reported from 2021 drillhole NB21-005 (see Fireweed news release dated November 18, 2021) and it is unclear whether there is any continuity between these intersections.
Table 1: NB22-005, NB22-006 and NB22-008 drill results.
*Intersected thicknesses, not true thicknesses, are stated for all intersections in Table 1. Most intersections in Table 1 are vein stockwork or replacement styles of mineralization and have undetermined true thicknesses. The laminated mineralization in NB22-008, 40.92 m to 46.50 m is assumed to be stratiform and true thickness is estimated to be approximately 30% to 85% of intersected thickness, based on bedding angles to core axis in and around the mineralized intersection.
Note – an interval of core in NB22-006 from 232.82 m to 255.87 m and an interval from 57.0 m to 66.87 m in hole NB22-008 were not assayed as these intervals were lost to a windstorm that up-ended several core tables, spilling the core on the ground prior to logging and sampling
Data verification
The diamond drill core logging and sampling program was carried out under a rigorous quality assurance / quality control program using industry best practices. Drill intersections in this release are HQ3 (split tube) size core (61.1mm / 2.406-inch diameter) (drill hole NB22-008) and NQ2 size core (50.5 mm/ 1.99-inch diameter) (drill holes NB22-005 and NB22-006) with recoveries typically above 85% unless otherwise noted in the table of results. After drilling, core was cleaned, scanned with a core scanning machine, logged for geology, structure, and geotechnical characteristics, then marked for sampling and photographed on site. The cores for analyses were marked for sampling based on geological intervals with individual samples 1.5 m or less in length. Drill core was cut lengthwise in half with a core saw; half-core was sent for assays reported in this news release, and the other half is stored on site for reference. Bulk density was determined on site for the entire length of each sample assayed by measurement of mass in air and mass in water. Sample duplicate bulk density determinations and in-house bulk density standard determinations were each made at a rate of 5%. Since 2017, four in-house bulk density standards (mineralized drill core from the Tom deposit that span a range of densities) have been used and show an acceptable long-term precision. Certified standard masses are used to calibrate the scale balance used for bulk density determinations.
A total of 5% assay standards or blanks and 5% core duplicates are included in the sample stream as a quality control measure and are reviewed after analyses are received. Standards and blanks in 2022 drill results to date have been approved as acceptable. Duplicate data add to the long-term estimates of precision for assay data on the project and precision for drill results reported is deemed to be within acceptable levels. Samples were sent to the Bureau Veritas preparation laboratory in Whitehorse, Yukon, where the samples were crushed and a 500 g split was sent to the Bureau Veritas laboratory in Vancouver, B.C to be pulverized to 85% passing 200 mesh size pulps. Clean crush material was passed through the crusher and clean silica was pulverized between each sample. The pulps were analyzed by 1:1:1 Aqua Regia digestion followed by Inductively Coupled Plasma Mass Spectrometry (ICP-ES/ICP-MS) multi-element analyses (BV Code AQ270). All samples were also analyzed for multiple elements by lithium borate fusion and X-ray fluorescence analysis (XRF) finish (BV Code LF725). Over-limit Pb (>25.0%) and Zn (>24.0%) were analyzed by lithium borate fusion with XRF finish (BV Code LF726). Silver and copper are reported in this news release by method AQ270, and zinc and lead are reported by LF725 or LF726. Bureau Veritas (Vancouver) is an independent, international ISO/IEC 17025:2005 accredited laboratory.
Results in this news release are length and bulk-density weighted averages as would be used in a Mineral Resource estimate. Readers are cautioned that in Fireweed news releases prior to 2020, only length weighted assay averages were reported which may result in slightly lower (under-reported) average values. Length and bulk-density weighted averages have been reported as these most accurately represent the average metal-content of the intersections.
Qualified Person Statement
Technical information in this news release has been approved by Fireweed Metals Chief Geologist, Jack Milton, Ph.D., P.Geo (BC), and a ‘Qualified Person’ as defined under Canadian National Instrument 43-101.
Updated Private Placement Information
Further to the Company’s news releases of 21 December 2022 and 30 December 2022 announcing closing of the $35 million private placement and related finders’ fees, the correct cash finders’ fees totalled $403,346.99.
About Fireweed Metals Corp. (TSXV: FWZ; OTCQB: FWEDF; FSE:20F): Fireweed Metals is a public mineral exploration company on the leading edge of Critical Minerals project development. The Company has three projects located in northern Canada:
- Macmillan Pass Zinc-Lead-Silver Project: Fireweed owns 100% of the district-scale 940 km2 Macmillan Pass project in Yukon, Canada, which is host to the Tom and Jason zinc-lead-silver deposits with current Mineral Resources and a PEA economic study (see Fireweed news releases dated 10th January 2018, and 23rd May 2018, respectively, and reports filed on sedar.com for details) as well as the Boundary Zone, Boundary Zone West, Tom North Zone and End Zone which have significant zinc-lead-silver mineralization drilled but not yet classified as mineral resources. The project also includes large blocks of adjacent claims with known showings and significant upside exploration potential. The large 2022 drill program utilizing four drills is complete and assay results are being announced as they are received and interpreted.
- Mactung Tungsten Project: The Company has a binding Letter of Intent to acquire 100% interest in the 37.6 km2 Mactung Tungsten Project located adjacent to the Macmillan Pass Project. Mactung contains historic resources that make it one of the largest and highest-grade undeveloped resources in the world of the Critical Mineral Tungsten. Located in Canada, it is one of the rare large tungsten resources outside of China. Due diligence and validation work on historic data has been completed and a second phase of relogging and sampling of historic drill core has begun and will support a new mineral resource estimate.
- Gayna River Zinc-Lead-Gallium-Germanium Project: Fireweed has 100% of the 128.75 km2 Gayna River project located 180 kilometres north of the Macmillan Pass project. It is host to extensive mineralization including Critical Minerals zinc, gallium and germanium as well as lead and silver, outlined by 28,000 metres of historic drilling and significant upside potential. The 2022 field program of geochemical sampling, airborne LiDAR topographic surveying and ground geophysics is now complete and data is being interpreted toward defining drill targets.
In Canada, Fireweed (TSXV: FWZ) trades on the TSX Venture Exchange. In the USA, Fireweed (OTCQB: FWEDF) trades on the OTCQB Venture Market for early stage and developing U.S. and international companies and is DTC eligible for enhanced electronic clearing and settlement. The Company is current in its reporting, and undergoes an annual verification and management certification process. Investors can find Real-Time quotes and market information for the Company on www.otcmarkets.com. In Europe, Fireweed (FSE: 20F) trades on the Frankfurt Stock Exchange.
Additional information about Fireweed and its projects can be found on the Company’s website at FireweedMetals.com and at www.sedar.com.
ON BEHALF OF FIREWEED METALS CORP.
“Brandon Macdonald”
CEO & Director
Neither the TSX Venture Exchange nor its Regulation Services Provider (as that term is defined in the policies of the TSX Venture Exchange) accepts responsibility for the adequacy or accuracy of this release.
Cautionary Statements
Forward Looking Statements
This news release contains “forward-looking” statements and information (“forward-looking statements”). All statements, other than statements of historical facts, included herein, including, without limitation, statements relating to interpretation of drill results, future work plans, the use of funds, and the potential of the Company’s projects, are forward looking statements. Forward-looking statements are frequently, but not always, identified by words such as “expects”, “anticipates”, “believes”, “intends”, “estimates”, “potential”, “possible”, and similar expressions, or statements that events, conditions, or results “will”, “may”, “could”, or “should” occur or be achieved. Forward-looking statements are based on the beliefs of Company management, as well as assumptions made by and information currently available to Company management and reflect the beliefs, opinions, and projections on the date the statements are made. Forward-looking statements involve various risks and uncertainties and accordingly, readers are advised not to place undue reliance on forward-looking statements. There can be no assurance that such statements will prove to be accurate, and actual results and future events could differ materially from those anticipated in such statements. Important factors that could cause actual results to differ materially from the Company’s expectations include but are not limited to, exploration and development risks, unanticipated reclamation expenses, expenditure and financing requirements, general economic conditions, changes in financial markets, the ability to properly and efficiently staff the Company’s operations, the sufficiency of working capital and funding for continued operations, title matters, First Nations relations, operating hazards, political and economic factors, competitive factors, metal prices, relationships with vendors and strategic partners, governmental regulations and oversight, permitting, seasonality and weather, technological change, industry practices, uncertainties involved in the interpretation of drilling results and laboratory tests, and one-time events. The Company assumes no obligation to update forward‐looking statements or beliefs, opinions, projections or other factors, except as required by law.
Contact:
Brandon Macdonald
Phone: (604) 646-8361
Map 1: Macmillan Pass and Mactung location map.
Map 2: Boundary Zone drilling map.
Cross Section E-E’: Results from NB22-006 and historic Cominco hole NB90-20.g

